Malaise Law Firm Office Photos | BCGSearch.com

Search Insights & Resources

Search Attorney Jobs

Malaise Law Firm

1 Metro Rankings

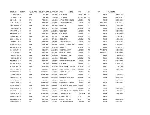
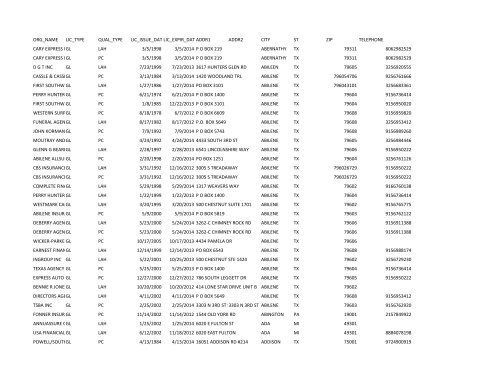
Malaise Law Firm Office Photos

Want to work at Malaise Law Firm?

The country's best legal placement firm may be able to get you there! Submit your resume to BCG Attorney Search today: CLICK HERE

Are You an Employer?
Please take BCG Attorney Search's Law Firm Salary Survey:

Click Here